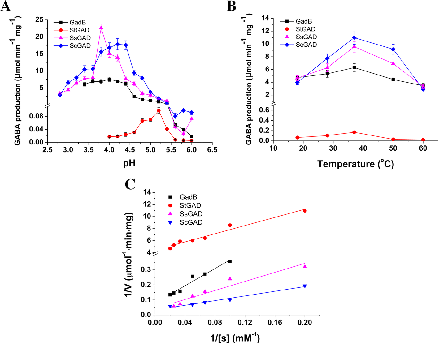
Fig. 4From: Identification of new glutamate decarboxylases from Streptomyces for efficient production of γ-aminobutyric acid in engineered Escherichia coliEnzymatic properties of StGAD, SsGAD, ScGAD and GadB. a Effect of the reaction pH on GAD activity; b Effect of the reaction temperature on GAD activity; c Determination of the kinetic parameters via the Lineweaver-Burk plotBack to article page